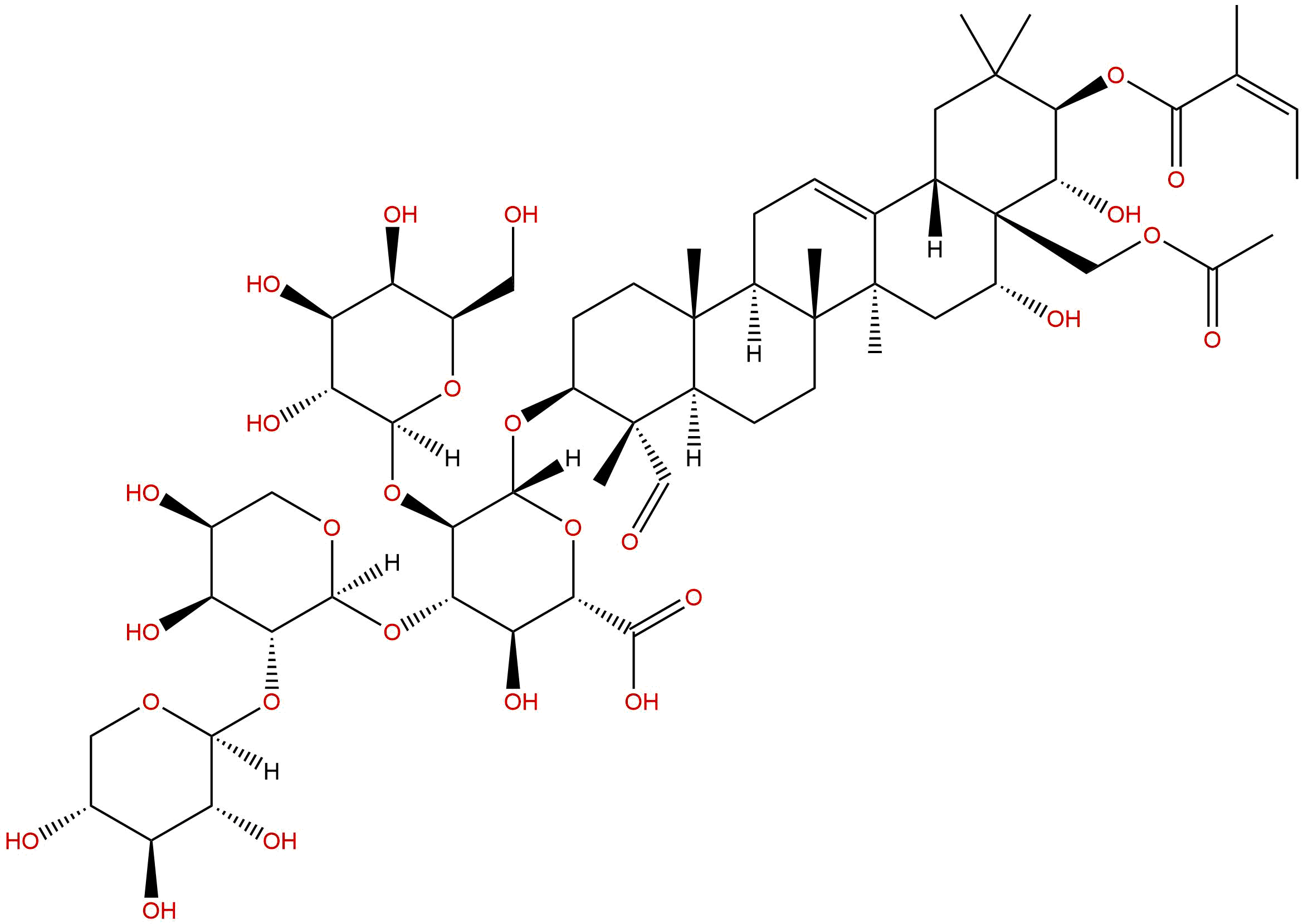
Description
IUPAC Name: (2S,3S,4S,5R,6R)-6-[[(3S,4S,4aR,6aR,6bS,8R,8aR,9R,10R,12aS,14aR,14bR)-8a-(acetyloxymethyl)-4-formyl-8,9-dihydroxy-4,6a,6b,11,11,14b-hexamethyl-10-[(Z)-2-methylbut-2-enoyl]oxy-1,2,3,4a,5,6,7,8,9,10,12,12a,14,14a-tetradecahydropicen-3-yl]oxy]-4-[(2S,3R,4S,5S)-4,5-dihydroxy-3-[(2S,3R,4S,5R)-3,4,5-trihydroxyoxan-2-yl]oxyoxan-2-yl]oxy-3-hydroxy-5-[(2S,3R,4S,5R,6R)-3,4,5-trihydroxy-6-(hydroxymethyl)oxan-2-yl]oxyoxane-2-carboxylic acid
InChI: InChI=1S/C59H90O27/c1-10-24(2)49(76)86-47-46(73)59(23-79-25(3)62)27(17-54(47,4)5)26-11-12-32-55(6)15-14-34(56(7,22-61)31(55)13-16-57(32,8)58(26,9)18-33(59)65)81-53-45(85-51-40(71)38(69)37(68)30(19-60)80-51)42(41(72)43(83-53)48(74)75)82-52-44(36(67)29(64)21-78-52)84-50-39(70)35(66)28(63)20-77-50/h10-11,22,27-47,50-53,60,63-73H,12-21,23H2,1-9H3,(H,74,75)/b24-10-/t27-,28+,29-,30+,31+,32+,33+,34-,35-,36-,37-,38-,39+,40+,41-,42-,43-,44+,45+,46-,47-,50-,51-,52-,53+,55-,56-,57+,58+,59-/m0/s1
InChIKey: RPFAABJEBARVGF-MWQJAWBESA-N
Canonical SMILES: CC=C(C)C(=O)OC1C(C2(C(CC1(C)C)C3=CCC4C5(CCC(C(C5CCC4(C3(CC2O)C)C)(C)C=O)OC6C(C(C(C(O6)C(=O)O)O)OC7C(C(C(CO7)O)O)OC8C(C(C(CO8)O)O)O)OC9C(C(C(C(O9)CO)O)O)O)C)COC(=O)C)O
Isomeric SMILES: C/C=C(/C)C(=O)O[C@H]1[C@@H]([C@@]2([C@@H](C[C@@]3(C(=CC[C@H]4[C@]3(CC[C@@H]5[C@@]4(CC[C@@H]([C@@]5(C)C=O)O[C@H]6[C@@H]([C@H]([C@@H]([C@H](O6)C(=O)O)O)O[C@H]7[C@@H]([C@H]([C@H](CO7)O)O)O[C@H]8[C@@H]([C@H]([C@@H](CO8)O)O)O)O[C@H]9[C@@H]([C@H]([C@H]([C@H](O9)CO)O)O)O)C)C)[C@@H]2CC1(C)C)C)O)COC(=O)C)O
Synonyms: theasaponin E2; 220114-30-7; beta-D-Glucopyranosiduronic acid, (3beta,4alpha,16alpha,21beta,22alpha)-28-(acetyloxy)-16,22-dihydroxy-21-[[(2Z)-2-methyl-1-oxo-2-buten-1-yl]oxy]-23-oxoolean-12-en-3-yl O-beta-D-galactopyranosyl-(1–>2)-O-[O-beta-D-xylopyranosyl-(1–>2)-alpha-L-arabinopyranosyl-(1–>3)]-; DTXSID501317299; HY-N12153; DA-58516; CS-0892539; E88908
Botanical Source:




