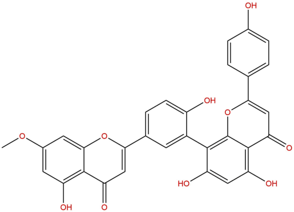
Description
IUPAC Name: 5,7-dihydroxy-8-[2-hydroxy-5-(5-hydroxy-7-methoxy-4-oxochromen-2-yl)phenyl]-2-(4-hydroxyphenyl)chromen-4-one
InChI: InChI=1S/C31H20O10/c1-39-17-9-20(34)29-23(37)12-26(40-27(29)10-17)15-4-7-19(33)18(8-15)28-21(35)11-22(36)30-24(38)13-25(41-31(28)30)14-2-5-16(32)6-3-14/h2-13,32-36H,1H3
InChIKey: TYUMAYSMJLPFAN-UHFFFAOYSA-N
Canonical SMILES: COC1=CC(=C2C(=C1)OC(=CC2=O)C3=CC(=C(C=C3)O)C4=C(C=C(C5=C4OC(=CC5=O)C6=CC=C(C=C6)O)O)O)O
Isomeric SMILES: COC1=CC(=C2C(=C1)OC(=CC2=O)C3=CC(=C(C=C3)O)C4=C(C=C(C5=C4OC(=CC5=O)C6=CC=C(C=C6)O)O)O)O
Synonyms: Sequoiaflavone; 21763-71-3; Brakerin; IdB-1028; LF-2646; 5,7-Dihydroxy-8-[2-hydroxy-5-(5-hydroxy-7-methoxy-4-oxochromen-2-yl)phenyl]-2-(4-hydroxyphenyl)chromen-4-one; 5,7-DIHYDROXY-8-[2-HYDROXY-5-(5-HYDROXY-7-METHOXY-4-OXO-4H-1-BENZOPYRAN-2-YL)PHENYL]-2-(4-HYDROXYPHENYL)-4-BENZOPYRONE; 5,7-Dihydroxy-8-(2-hydroxy-5-(5-hydroxy-7-methoxy-4-oxo-4H-chromen-2-yl)phenyl)-2-(4-hydroxyphenyl)-4H-chromen-4-one; …
Botanical Source:




