Description
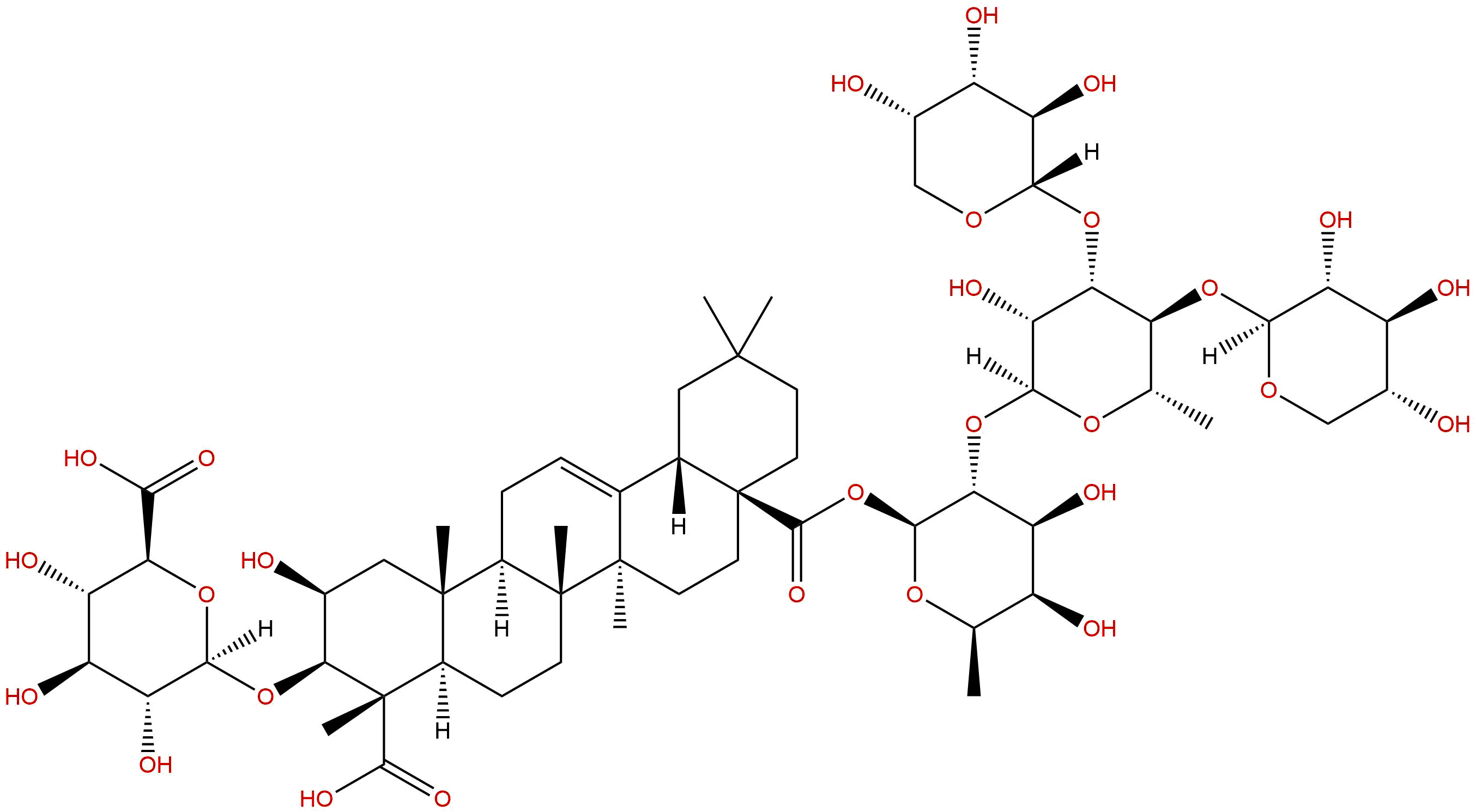
IUPAC Name: (2S,3S,4S,5R,6R)-6-[[(2S,3R,4S,4aR,6aR,6bS,8aS,12aS,14aR,14bR)-4-carboxy-8a-[(2S,3R,4S,5R,6R)-4,5-dihydroxy-3-[(2S,3R,4S,5S,6S)-3-hydroxy-6-methyl-5-[(2S,3R,4S,5R)-3,4,5-trihydroxyoxan-2-yl]oxy-4-[(2S,3R,4S,5S)-3,4,5-trihydroxyoxan-2-yl]oxyoxan-2-yl]oxy-6-methyloxan-2-yl]oxycarbonyl-2-hydroxy-4,6a,6b,11,11,14b-hexamethyl-1,2,3,4a,5,6,7,8,9,10,12,12a,14,14a-tetradecahydropicen-3-yl]oxy]-3,4,5-trihydroxyoxane-2-carboxylic acid
InChI: InChI=1S/C58H90O28/c1-21-30(62)34(66)43(84-49-39(71)41(82-47-37(69)32(64)27(61)20-78-47)40(22(2)80-49)81-46-36(68)31(63)26(60)19-77-46)50(79-21)86-52(76)58-15-13-53(3,4)17-24(58)23-9-10-28-54(5)18-25(59)44(85-48-38(70)33(65)35(67)42(83-48)45(72)73)57(8,51(74)75)29(54)11-12-56(28,7)55(23,6)14-16-58/h9,21-22,24-44,46-50,59-71H,10-20H2,1-8H3,(H,72,73)(H,74,75)/t21-,22+,24+,25+,26-,27+,28-,29-,30+,31+,32+,33+,34+,35+,36-,37-,38-,39-,40+,41+,42+,43-,44+,46+,47+,48+,49+,50+,54-,55-,56-,57+,58+/m1/s1
InChIKey: XBTOCVCSOCBSJV-ZDHYYXAYSA-N
Canonical SMILES: CC1C(C(C(C(O1)OC(=O)C23CCC(CC2C4=CCC5C(C4(CC3)C)(CCC6C5(CC(C(C6(C)C(=O)O)OC7C(C(C(C(O7)C(=O)O)O)O)O)O)C)C)(C)C)OC8C(C(C(C(O8)C)OC9C(C(C(CO9)O)O)O)OC1C(C(C(CO1)O)O)O)O)O)O
Isomeric SMILES: C[C@@H]1[C@@H]([C@@H]([C@H]([C@@H](O1)OC(=O)[C@@]23CC[C@@]4(C(=CC[C@H]5[C@]4(CC[C@@H]6[C@@]5(C[C@@H]([C@@H]([C@@]6(C)C(=O)O)O[C@H]7[C@@H]([C@H]([C@@H]([C@H](O7)C(=O)O)O)O)O)O)C)C)[C@@H]2CC(CC3)(C)C)C)O[C@H]8[C@@H]([C@@H]([C@H]([C@@H](O8)C)O[C@H]9[C@@H]([C@H]([C@@H](CO9)O)O)O)O[C@H]1[C@@H]([C@H]([C@H](CO1)O)O)O)O)O)O
Synonyms: Celosin J; 1623405-29-7; HY-N8166; AKOS040760318; CS-0140236; E80700
Botanical Source:




