Description
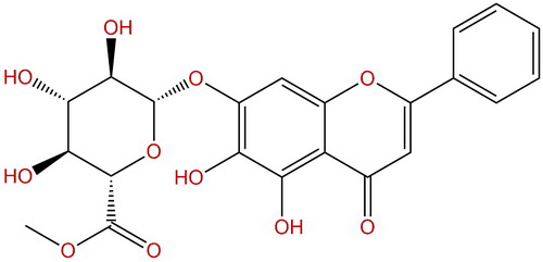
IUPAC Name: methyl (2S,3S,4S,5R,6S)-6-(5,6-dihydroxy-4-oxo-2-phenylchromen-7-yl)oxy-3,4,5-trihydroxyoxane-2-carboxylate
InChI: InChI=1S/C22H20O11/c1-30-21(29)20-18(27)17(26)19(28)22(33-20)32-13-8-12-14(16(25)15(13)24)10(23)7-11(31-12)9-5-3-2-4-6-9/h2-8,17-20,22,24-28H,1H3/t17-,18-,19+,20-,22+/m0/s1
InChIKey: AOWRAYJMTOYETH-SXFAUFNYSA-N
Canonical SMILES: COC(=O)C1C(C(C(C(O1)OC2=C(C(=C3C(=C2)OC(=CC3=O)C4=CC=CC=C4)O)O)O)O)O
Isomeric SMILES: COC(=O)[C@@H]1[C@H]([C@@H]([C@H]([C@@H](O1)OC2=C(C(=C3C(=C2)OC(=CC3=O)C4=CC=CC=C4)O)O)O)O)O
Synonyms: Baicalin methyl ester; 82475-03-4; methyl (2S,3S,4S,5R,6S)-6-(5,6-dihydroxy-4-oxo-2-phenylchromen-7-yl)oxy-3,4,5-trihydroxyoxane-2-carboxylate; SCHEMBL6245623; HY-N4297; AKOS037515033; MS-28434; CS-0032670; …
Botanical Source: Scutellariae radix




