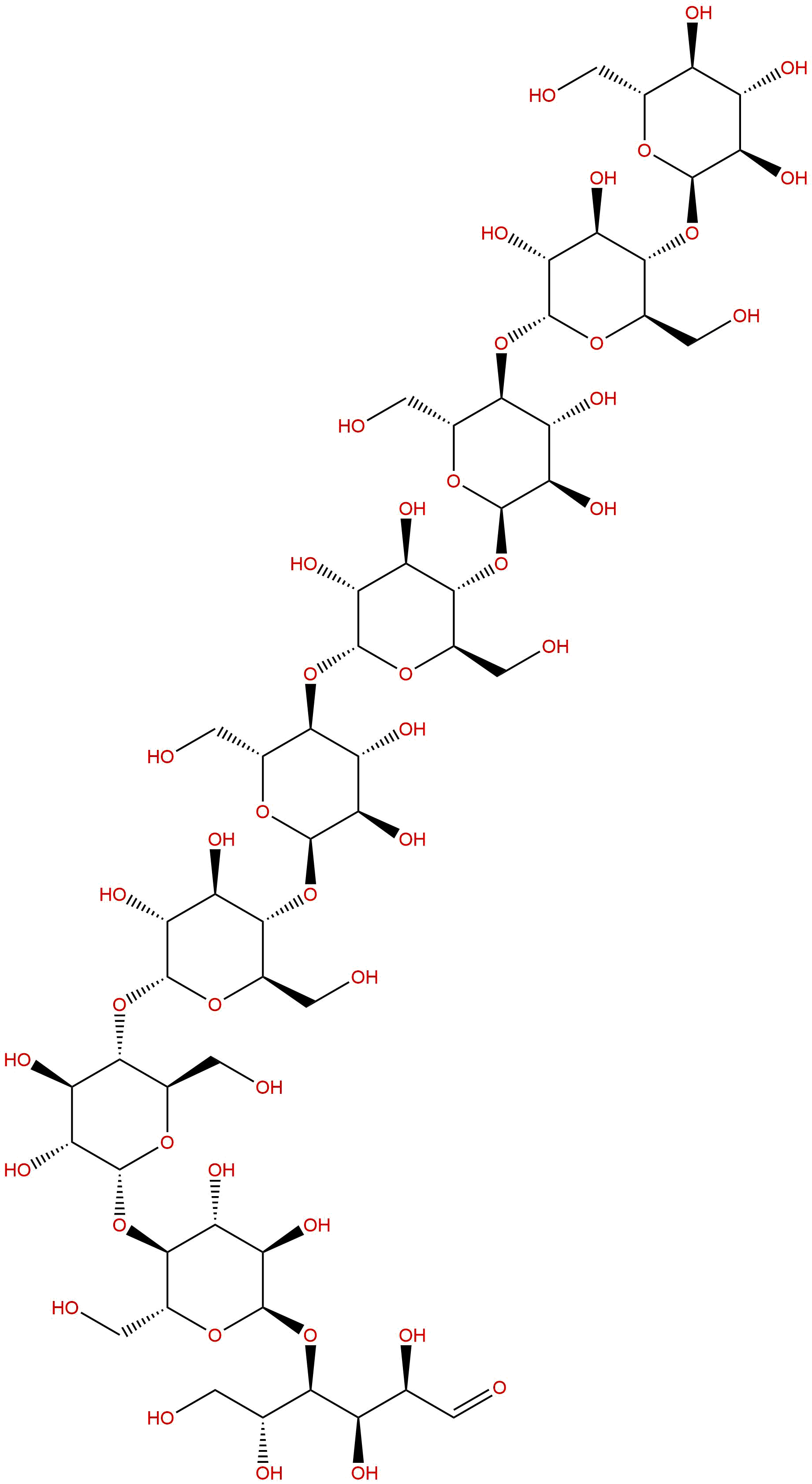
Description
IUPAC Name: (2R,3S,4R,5R)-2-[(2R,3R,4S,5R,6R)-6-(hydroxymethyl)-3,4,5-tris[[(2R,3R,4S,5S,6R)-3,4,5-trihydroxy-6-(hydroxymethyl)oxan-2-yl]oxy]oxan-2-yl]oxy-3,4,5,6-tetrakis[[(2R,3R,4S,5S,6R)-3,4,5-trihydroxy-6-(hydroxymethyl)oxan-2-yl]oxy]hexanal
InChI: InChI=1S/C54H92O46/c55-1-11-21(64)28(71)35(78)47(86-11)85-10-20(95-48-36(79)29(72)22(65)12(2-56)87-48)44(98-51-39(82)32(75)25(68)15(5-59)90-51)42(96-49-37(80)30(73)23(66)13(3-57)88-49)18(8-62)93-54-46(100-53-41(84)34(77)27(70)17(7-61)92-53)45(99-52-40(83)33(76)26(69)16(6-60)91-52)43(19(9-63)94-54)97-50-38(81)31(74)24(67)14(4-58)89-50/h8,11-61,63-84H,1-7,9-10H2/t11-,12-,13-,14-,15-,16-,17-,18+,19-,20-,21-,22-,23-,24-,25-,26-,27-,28+,29+,30+,31+,32+,33+,34+,35-,36-,37-,38-,39-,40-,41-,42-,43-,44-,45+,46-,47+,48-,49-,50-,51-,52-,53-,54+/m1/s1
InChIKey: KNBVLVBOKWRYEP-XYLDXDTCSA-N
Canonical SMILES: C(C1C(C(C(C(O1)OCC(C(C(C(C=O)OC2C(C(C(C(O2)CO)OC3C(C(C(C(O3)CO)O)O)O)OC4C(C(C(C(O4)CO)O)O)O)OC5C(C(C(C(O5)CO)O)O)O)OC6C(C(C(C(O6)CO)O)O)O)OC7C(C(C(C(O7)CO)O)O)O)OC8C(C(C(C(O8)CO)O)O)O)O)O)O)O
Isomeric SMILES: C([C@@H]1[C@H]([C@@H]([C@H]([C@H](O1)OC[C@H]([C@H]([C@@H]([C@H](C=O)O[C@@H]2[C@@H]([C@H]([C@@H]([C@H](O2)CO)O[C@@H]3[C@@H]([C@H]([C@@H]([C@H](O3)CO)O)O)O)O[C@@H]4[C@@H]([C@H]([C@@H]([C@H](O4)CO)O)O)O)O[C@@H]5[C@@H]([C@H]([C@@H]([C@H](O5)CO)O)O)O)O[C@@H]6[C@@H]([C@H]([C@@H]([C@H](O6)CO)O)O)O)O[C@@H]7[C@@H]([C@H]([C@@H]([C@H](O7)CO)O)O)O)O[C@@H]8[C@@H]([C@H]([C@@H]([C@H](O8)CO)O)O)O)O)O)O)O
Synonyms: 6471-60-9; (2R,3S,4R,5R)-2-[(2R,3R,4S,5R,6R)-6-(hydroxymethyl)-3,4,5-tris[[(2R,3R,4S,5S,6R)-3,4,5-trihydroxy-6-(hydroxymethyl)oxan-2-yl]oxy]oxan-2-yl]oxy-3,4,5,6-tetrakis[[(2R,3R,4S,5S,6R)-3,4,5-trihydroxy-6-(hydroxymethyl)oxan-2-yl]oxy]hexanal; D-Glucose, O-alpha-D-glucopyranosyl-(1-4)-O-alpha-D-glucopyranosyl-(1-4)-O-alpha-D-glucopyranosyl-(1-4)-O-alpha-D-glucopyranosyl-(1-4)-O-alpha-D-glucopyranosyl-(1-4)-O-alpha-D-glucopyranosyl-(1-4)-O-alpha-D-glucopyranosyl-(1-4)-O-alpha-D-glucopyranosyl-(1-4)-; DTXSID60215057; MFCD30720324; E87153
Botanical Source:




